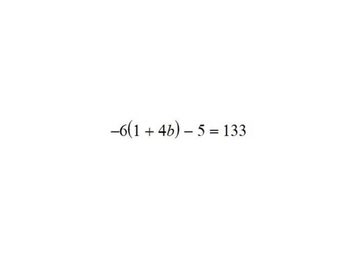
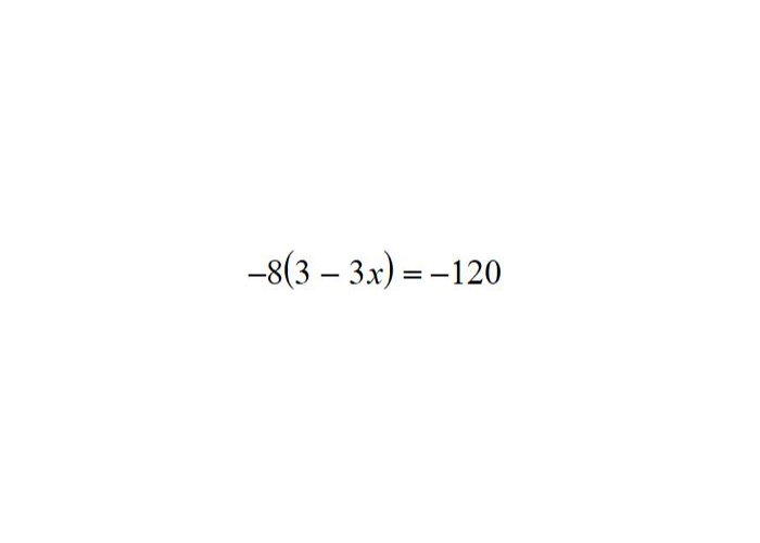
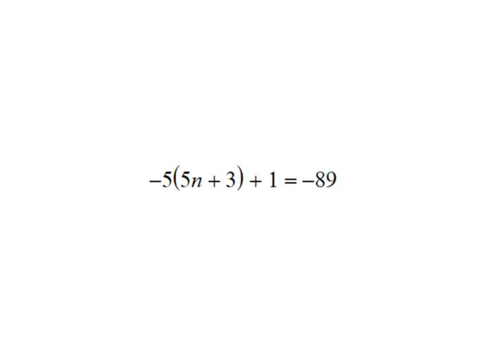
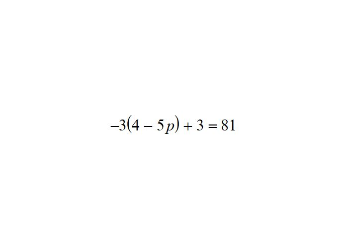
An engaging bingo review game designed for eighth, ninth, and tenth grade students. This game focuses on algebra i and helps students practice with short answer questions in a fun interactive format. Teachers can use this game to reinforce concepts, increase participation, and make review sessions more exciting. Perfect for every day review, tutoring, or test prep, this multi-step equations with distributive property (only one variable game will help keep your students motivated while they work on mastering key skills. If you're looking for a Math bingo game on algebra i for eighth, ninth, and tenth grade students, this ClassGrit game is a great choice to make learning interactive and effective for your students.
ClassGRIT digital bingo games are a no-prep, high-engagement review tool for teachers. Students use interactive bingo boards with randomized answers to reinforce key concepts, while teachers control pacing from the Caller App — no student accounts, no hassle.
 
 
 







