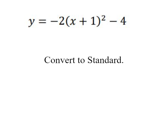
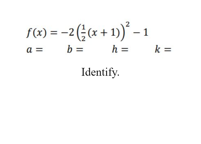
An engaging bingo review game designed for eleventh and twelfth grade students. This game focuses on algebra ii and helps students practice with short answer questions in a fun interactive format. Teachers can use this game to reinforce concepts, increase participation, and make review sessions more exciting. Perfect for every day review, tutoring, or test prep, this intro to quadratics unit (vertex form, translations, range and graph) game will help keep your students motivated while they work on mastering key skills. If you're looking for a Math bingo game on algebra ii for eleventh and twelfth grade students, this ClassGrit game is a great choice to make learning interactive and effective for your students.
ClassGRIT digital bingo games are a no-prep, high-engagement review tool for teachers. Students use interactive bingo boards with randomized answers to reinforce key concepts, while teachers control pacing from the Caller App — no student accounts, no hassle.
 
 
 







