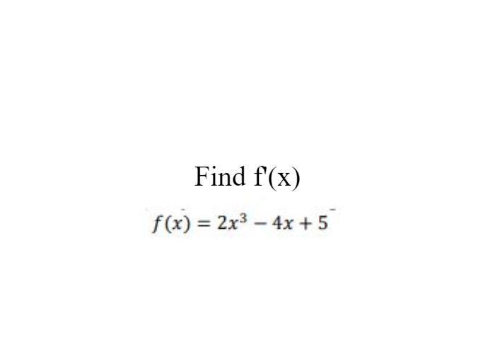
An engaging bingo review game designed for ninth, tenth, eleventh, and twelfth grade students. This game focuses on calculus and helps students practice with short answer questions in a fun interactive format. Teachers can use this game to reinforce concepts, increase participation, and make review sessions more exciting. Perfect for every day review, tutoring, or test prep, this 2.5-2.7 derivative practice game will help keep your students motivated while they work on mastering key skills. If you're looking for a Math bingo game on calculus for ninth, tenth, eleventh, and twelfth grade students, this ClassGrit game is a great choice to make learning interactive and effective for your students.
ClassGRIT digital bingo games are a no-prep, high-engagement review tool for teachers. Students use interactive bingo boards with randomized answers to reinforce key concepts, while teachers control pacing from the Caller App — no student accounts, no hassle.
 
 
 





